Original Source: https://www.acmicpc.net/problem/9466
9466번: 텀 프로젝트
이번 가을학기에 '문제 해결' 강의를 신청한 학생들은 텀 프로젝트를 수행해야 한다. 프로젝트 팀원 수에는 제한이 없다. 심지어 모든 학생들이 동일한 팀의 팀원인 경우와 같이 한 팀만 있을
www.acmicpc.net
문제
이번 가을학기에 '문제 해결' 강의를 신청한 학생들은 텀 프로젝트를 수행해야 한다. 프로젝트 팀원 수에는 제한이 없다. 심지어 모든 학생들이 동일한 팀의 팀원인 경우와 같이 한 팀만 있을 수도 있다. 프로젝트 팀을 구성하기 위해, 모든 학생들은 프로젝트를 함께하고 싶은 학생을 선택해야 한다. (단, 단 한 명만 선택할 수 있다.) 혼자 하고 싶어하는 학생은 자기 자신을 선택하는 것도 가능하다.
학생들이 $ (s_1, s_2, \dots , s_r) $이라 할 때, $ r = 1 $ 이고 $ s_1 $이 $ s_1 $을 선택하는 경우나, $ s_1 $이 $ s_2 $를 선택하고, $ s_2 $가 $ s_3 $를 선택하고, … , $ s_{r - 1} $이 $ s_r $을 선택하고, $ s_r $이 $s_1 $을 선택하는 경우에만 한 팀이 될 수 있다.
예를 들어, 한 반에 $ 7 $명의 학생이 있다고 하자. 학생들을 $ 1 $번부터 $ 7 $번으로 표현할 때, 선택의 결과는 다음과 같다고 하자.
| 1 | 2 | 3 | 4 | 5 | 6 | 7 |
| 3 | 1 | 3 | 7 | 3 | 4 | 6 |
위의 결과를 통해 $ (3) $과 $ (4, 6, 7) $이 팀을 이룰 수 있다. $ 1 $, $ 2 $, $ 5 $는 어느 팀에도 속하지 않는다.
주어진 선택의 결과를 보고 어느 프로젝트 팀에도 속하지 않는 학생들의 수를 계산하는 프로그램을 작성하라.
입력
첫째 줄에 테스트 케이스의 개수 $ T $가 주어진다. 각 테스트 케이스의 첫 줄에는 학생의 수가 정수 $ n $ $ (2 \le n \le 100000) $으로 주어진다. 각 테스트 케이스의 둘째 줄에는 선택된 학생들의 번호가 주어진다. (모든 학생들은 $ 1 $부터 $ n $까지 번호가 부여된다.)
출력
각 테스트 케이스마다 한 줄에 출력하고, 각 줄에는 프로젝트 팀에 속하지 못한 학생들의 수를 나타내면 된다.
풀이
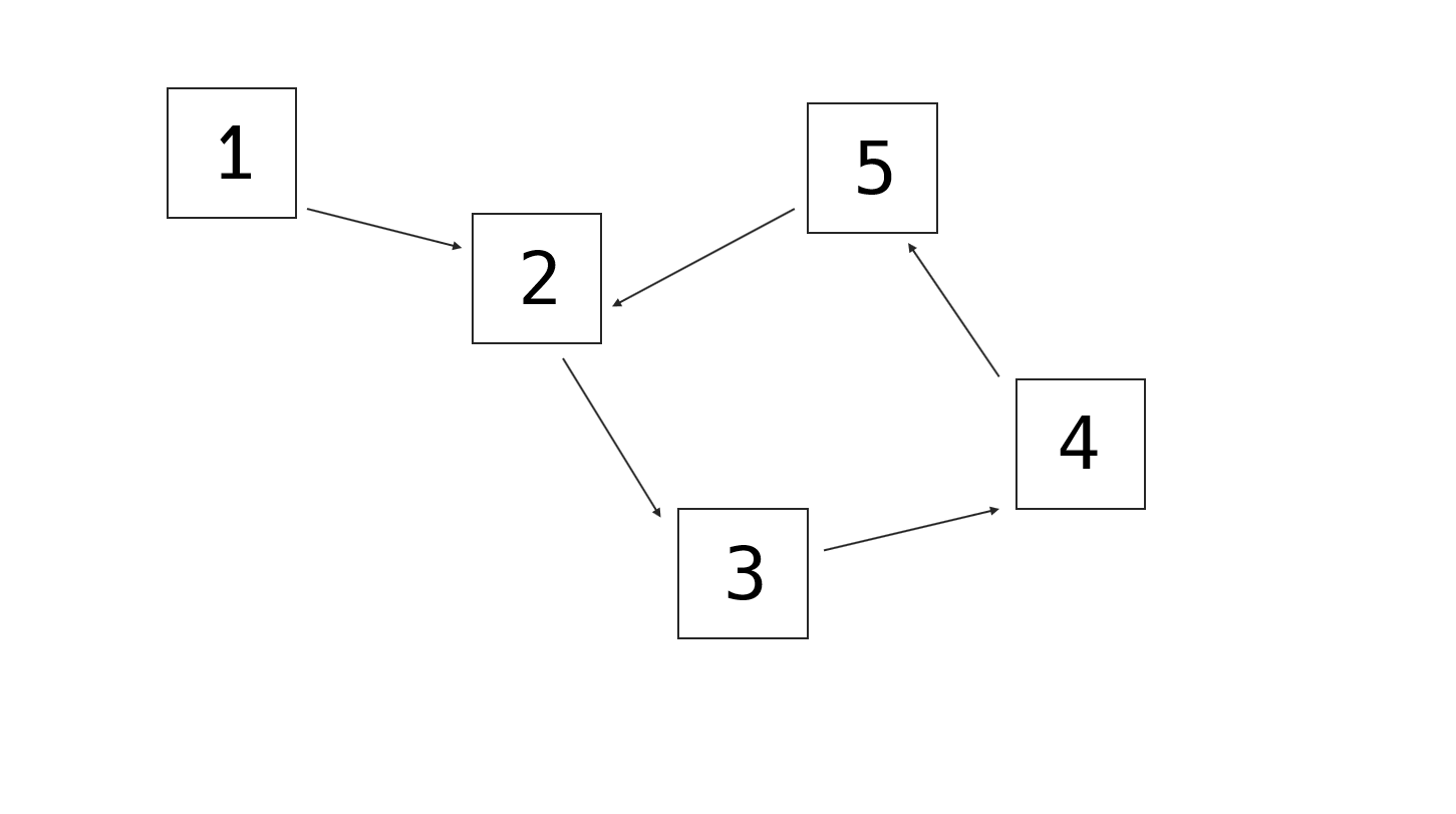
기본적으로 생각해낼 만한 풀이 방법은 '처음부터 끝까지 학생들을 순회하되, bool 타입 방문 처리 배열을 하나 만들어서 방문하지 않은 학생만 DFS를 돌린다. DFS를 수행할 때 첫 번째 원소를 따로 저장한 뒤 첫 번째 원소가 다시 등장하면 하나의 사이클로 생각한다' 이다. 하지만 이렇게 하면 무한 루프에 빠지게 된다. 다음과 같은 경우를 생각해보자.
| 1 | 2 | 3 | 4 | 5 |
| 2 | 3 | 4 | 5 | 2 |

처음에 학생 $ 1 $을 선택해 DFS를 돌릴 때, $ 1 $ → $ 2 $ → $ 3 $ → $ 4 $ → $ 5 $ → $ 2 $ → $ 3 $ → $ 4 $ → $ 5 $ … 순서로 순회하게 된다. 이때 순회 과정에서 첫 번째 원소였던 $ 1 $을 찾을 수 없으므로 무한 루프에 빠진다.
첫 번째 원소가 재등장할 때 DFS를 종료하는 대신, 이미 방문한 원소가 다시 등장하면 종료하기로 해도 마찬가지다. DFS 종료 시 사이클을 순회하며 학생 숫자를 세는 과정에서 무한 루프에 빠지게 된다. 그래프 내에서 사이클을 순회할 때는 다음과 같은 코드를 사용한다.
for (int i = next; i != cur; i = graph[i]) {
count++;
}
cur은 DFS가 종료되었을 때의 현재 노드, next는 그 다음 노드에 해당한다. 위 코드를 염두에 두면서 다음 경우를 생각해보자.
| 1 | 2 | 3 | 4 | 5 | 6 |
| 3 | 3 | 4 | 5 | 6 | 3 |

맨 처음 학생 $ 1 $을 선택했을 때는 정상적으로 DFS가 돌아간다. 문제는 학생 $ 2 $를 선택하는 경우다. 이미 학생 $ 3 $이 방문 처리가 되었기 때문에 cur은 $ 2 $, next는 $ 3 $이 된다. 따라서 사이클 안에 원소 $ 2 $가 없으므로 반복문의 종료 조건이 충족되지 않아 무한 루프에 빠진다. 또한 설령 무한 루프에 빠지지 않더라도 학생 수가 중복으로 세지므로 올바른 답을 구할 수 없다.
이 문제를 해결하는 방법은 방문 처리 배열을 두 개 만드는 것이다. 첫 번째 배열은 DFS를 돌면서 원소를 방문했는지 나타내고, 두 번째 배열은 원소가 이미 다른 사이클에 속해 있는지(혹은 사이클이 발생했을 때 순회되었던 원소인지)를 나타낸다. 그리고 DFS를 돌다가 다음 원소가 이미 방문한 원소일 때 + 다른 사이클에 속해 있지 않은 원소일 때 사이클의 원소 개수를 센 뒤 종료하면 된다. 이렇게 하면 모든 학생을 단 한 번씩만 방문하므로 $ O(N) $ 시간에 문제를 해결할 수 있다.
내가 작성한 소스코드
#include <iostream>
#define MAX 100000
using namespace std;
int T, N;
int graph[MAX];
bool is_visited[MAX];
bool is_cycle[MAX];
int count;
void find_cycle(int cur) {
is_visited[cur] = true;
int next = graph[cur];
if (!is_visited[next]) {
find_cycle(next);
} else if (!is_cycle[next]) {
for (int i = next; i != cur; i = graph[i]) {
count++;
}
count++; // cur까지 포함하여 사이클의 크기 측정
}
is_cycle[cur] = true;
return;
}
void search(void) {
for (int i = 0; i < N; i++) {
if (is_visited[i]) continue;
find_cycle(i);
}
return;
}
void init(void) {
for (int i = 0; i < N; i++) {
is_visited[i] = false;
is_cycle[i] = false;
}
count = 0;
return;
}
void input(void) {
cin >> N;
for (int i = 0; i < N; i++) {
cin >> graph[i];
graph[i]--; // 번호가 0부터 시작하도록 조정
}
return;
}
void output(void) {
cout << N - count << "\n";
return;
}
int main(void) {
ios::sync_with_stdio(0);
cin.tie(0); cout.tie(0);
cin >> T;
for (int i = 0; i < T; i++) {
input();
init();
search();
output();
}
return 0;
}
남이 작성한 소스코드
'BOJ' 카테고리의 다른 글
| [골드 4] 12886번: 돌 그룹 (0) | 2022.10.15 |
|---|---|
| [골드 3] 6087번: 레이저 통신 (0) | 2022.10.05 |
| [골드 3] 14442번: 벽 부수고 이동하기 2 (0) | 2022.09.27 |
| [골드 2] 16946번: 벽 부수고 이동하기 4 (1) | 2022.09.25 |
| [골드 3] 2206번: 벽 부수고 이동하기 (1) | 2022.09.24 |
Original Source: https://www.acmicpc.net/problem/9466
9466번: 텀 프로젝트
이번 가을학기에 '문제 해결' 강의를 신청한 학생들은 텀 프로젝트를 수행해야 한다. 프로젝트 팀원 수에는 제한이 없다. 심지어 모든 학생들이 동일한 팀의 팀원인 경우와 같이 한 팀만 있을
www.acmicpc.net
문제
이번 가을학기에 '문제 해결' 강의를 신청한 학생들은 텀 프로젝트를 수행해야 한다. 프로젝트 팀원 수에는 제한이 없다. 심지어 모든 학생들이 동일한 팀의 팀원인 경우와 같이 한 팀만 있을 수도 있다. 프로젝트 팀을 구성하기 위해, 모든 학생들은 프로젝트를 함께하고 싶은 학생을 선택해야 한다. (단, 단 한 명만 선택할 수 있다.) 혼자 하고 싶어하는 학생은 자기 자신을 선택하는 것도 가능하다.
학생들이 $ (s_1, s_2, \dots , s_r) $이라 할 때, $ r = 1 $ 이고 $ s_1 $이 $ s_1 $을 선택하는 경우나, $ s_1 $이 $ s_2 $를 선택하고, $ s_2 $가 $ s_3 $를 선택하고, … , $ s_{r - 1} $이 $ s_r $을 선택하고, $ s_r $이 $s_1 $을 선택하는 경우에만 한 팀이 될 수 있다.
예를 들어, 한 반에 $ 7 $명의 학생이 있다고 하자. 학생들을 $ 1 $번부터 $ 7 $번으로 표현할 때, 선택의 결과는 다음과 같다고 하자.
| 1 | 2 | 3 | 4 | 5 | 6 | 7 |
| 3 | 1 | 3 | 7 | 3 | 4 | 6 |
위의 결과를 통해 $ (3) $과 $ (4, 6, 7) $이 팀을 이룰 수 있다. $ 1 $, $ 2 $, $ 5 $는 어느 팀에도 속하지 않는다.
주어진 선택의 결과를 보고 어느 프로젝트 팀에도 속하지 않는 학생들의 수를 계산하는 프로그램을 작성하라.
입력
첫째 줄에 테스트 케이스의 개수 $ T $가 주어진다. 각 테스트 케이스의 첫 줄에는 학생의 수가 정수 $ n $ $ (2 \le n \le 100000) $으로 주어진다. 각 테스트 케이스의 둘째 줄에는 선택된 학생들의 번호가 주어진다. (모든 학생들은 $ 1 $부터 $ n $까지 번호가 부여된다.)
출력
각 테스트 케이스마다 한 줄에 출력하고, 각 줄에는 프로젝트 팀에 속하지 못한 학생들의 수를 나타내면 된다.
풀이
기본적으로 생각해낼 만한 풀이 방법은 '처음부터 끝까지 학생들을 순회하되, bool 타입 방문 처리 배열을 하나 만들어서 방문하지 않은 학생만 DFS를 돌린다. DFS를 수행할 때 첫 번째 원소를 따로 저장한 뒤 첫 번째 원소가 다시 등장하면 하나의 사이클로 생각한다' 이다. 하지만 이렇게 하면 무한 루프에 빠지게 된다. 다음과 같은 경우를 생각해보자.
| 1 | 2 | 3 | 4 | 5 |
| 2 | 3 | 4 | 5 | 2 |

처음에 학생 $ 1 $을 선택해 DFS를 돌릴 때, $ 1 $ → $ 2 $ → $ 3 $ → $ 4 $ → $ 5 $ → $ 2 $ → $ 3 $ → $ 4 $ → $ 5 $ … 순서로 순회하게 된다. 이때 순회 과정에서 첫 번째 원소였던 $ 1 $을 찾을 수 없으므로 무한 루프에 빠진다.
첫 번째 원소가 재등장할 때 DFS를 종료하는 대신, 이미 방문한 원소가 다시 등장하면 종료하기로 해도 마찬가지다. DFS 종료 시 사이클을 순회하며 학생 숫자를 세는 과정에서 무한 루프에 빠지게 된다. 그래프 내에서 사이클을 순회할 때는 다음과 같은 코드를 사용한다.
for (int i = next; i != cur; i = graph[i]) {
count++;
}
cur은 DFS가 종료되었을 때의 현재 노드, next는 그 다음 노드에 해당한다. 위 코드를 염두에 두면서 다음 경우를 생각해보자.
| 1 | 2 | 3 | 4 | 5 | 6 |
| 3 | 3 | 4 | 5 | 6 | 3 |

맨 처음 학생 $ 1 $을 선택했을 때는 정상적으로 DFS가 돌아간다. 문제는 학생 $ 2 $를 선택하는 경우다. 이미 학생 $ 3 $이 방문 처리가 되었기 때문에 cur은 $ 2 $, next는 $ 3 $이 된다. 따라서 사이클 안에 원소 $ 2 $가 없으므로 반복문의 종료 조건이 충족되지 않아 무한 루프에 빠진다. 또한 설령 무한 루프에 빠지지 않더라도 학생 수가 중복으로 세지므로 올바른 답을 구할 수 없다.
이 문제를 해결하는 방법은 방문 처리 배열을 두 개 만드는 것이다. 첫 번째 배열은 DFS를 돌면서 원소를 방문했는지 나타내고, 두 번째 배열은 원소가 이미 다른 사이클에 속해 있는지(혹은 사이클이 발생했을 때 순회되었던 원소인지)를 나타낸다. 그리고 DFS를 돌다가 다음 원소가 이미 방문한 원소일 때 + 다른 사이클에 속해 있지 않은 원소일 때 사이클의 원소 개수를 센 뒤 종료하면 된다. 이렇게 하면 모든 학생을 단 한 번씩만 방문하므로 $ O(N) $ 시간에 문제를 해결할 수 있다.
내가 작성한 소스코드
#include <iostream>
#define MAX 100000
using namespace std;
int T, N;
int graph[MAX];
bool is_visited[MAX];
bool is_cycle[MAX];
int count;
void find_cycle(int cur) {
is_visited[cur] = true;
int next = graph[cur];
if (!is_visited[next]) {
find_cycle(next);
} else if (!is_cycle[next]) {
for (int i = next; i != cur; i = graph[i]) {
count++;
}
count++; // cur까지 포함하여 사이클의 크기 측정
}
is_cycle[cur] = true;
return;
}
void search(void) {
for (int i = 0; i < N; i++) {
if (is_visited[i]) continue;
find_cycle(i);
}
return;
}
void init(void) {
for (int i = 0; i < N; i++) {
is_visited[i] = false;
is_cycle[i] = false;
}
count = 0;
return;
}
void input(void) {
cin >> N;
for (int i = 0; i < N; i++) {
cin >> graph[i];
graph[i]--; // 번호가 0부터 시작하도록 조정
}
return;
}
void output(void) {
cout << N - count << "\n";
return;
}
int main(void) {
ios::sync_with_stdio(0);
cin.tie(0); cout.tie(0);
cin >> T;
for (int i = 0; i < T; i++) {
input();
init();
search();
output();
}
return 0;
}
남이 작성한 소스코드
'BOJ' 카테고리의 다른 글
| [골드 4] 12886번: 돌 그룹 (0) | 2022.10.15 |
|---|---|
| [골드 3] 6087번: 레이저 통신 (0) | 2022.10.05 |
| [골드 3] 14442번: 벽 부수고 이동하기 2 (0) | 2022.09.27 |
| [골드 2] 16946번: 벽 부수고 이동하기 4 (1) | 2022.09.25 |
| [골드 3] 2206번: 벽 부수고 이동하기 (1) | 2022.09.24 |